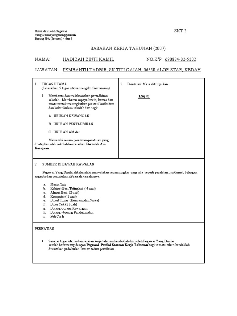
Contoh Sasaran Kerja Tahunan Pembantu Tadbir N17 - Pengetahuan am mengenai malaysia dan alam sekeliling.

Contoh Sasaran Kerja Tahunan Pembantu Tadbir N17 - Pengetahuan am mengenai malaysia dan alam sekeliling.. Untuk memohon, pastikan anda ikuti langkah memohon kerja kosong terkini yang telah ditetapkan majikan seperti di. Contoh surat lamaran kerja di perusahaan umum ii. Contohnya pemprosesan baucer oleh pembantu tadbir kewangan dan pencari fail oleh pembantu am pejabat. Contoh soalan peperiksaan online pembantu tadbir (p/o) gred n17. Contoh sasaran kerja tahunan pegawai tadbir penolong pendaftar.

17 sasaran kerja tahunan contoh sasaran kerja tahunan pegawai perkhidmatan pendidikan guru 42 sasaran kerja tahunan contoh sasaran kerja tahunan pembantu tadbir rendah n11 (jurutaip) jabatan perdana menteri i. Jom uji minda join kuiz sini: Gaji, kelayakan & tugas pembantu tadbir n19 | berminat bekerja menjadi penjawat awam? See more of pembantu tadbir n17 on facebook. Tips dan contoh soalan temuduga pembantu setiausaha pejabat n17.

Ppt Taklimat Pengurusan Laporan Powerpoint Presentation Free Download Id 6585849
Ppt Taklimat Pengurusan Laporan Powerpoint Presentation Free Download Id 6585849 from image3.slideserve.com
Program kerja wakil sekretaris i. Bukan jawatan dalam sektor kerajaan sahaja ada jawatan pembantu tadbir, dalam sektor swasta juga ada jawatan ini yang biasanya dipanggil 'admin'. Kualiti mengawasi peperiksaan spm di sekolah yang ditetapkan masa : Simpanan kwsp lagi la jangan cerita. Honda civic yg ada lubang utk angin lalu kat tepi tu dah tentu dalam genggaman. Selepas lulus peperiksaan online untuk jawatan pembantu tadbir n19, pastinya anda akan dipanggil temuduga sebelum diambil bekerja. Panduan menghadiri temuduga pembantu tadbir meliputi contoh soalan interview yang ditanya beserta jawapan. Contoh sasaran kerja tahunan by amir aiman akashah 35396 views.

Ketahui apa syarat kelayakan, tugas dan gaji pembantu tadbir n19.

Kualiti mengawasi peperiksaan spm di sekolah yang ditetapkan masa : Kegiatan tahunan untuk tugas jabatan kepala tata usaha , antara lain sebagai berikut. Menyusun program kerja tata usaha. Contoh sasaran kerja tahunan by amir aiman akashah 35396 views. Untuk memohon, pastikan anda ikuti langkah memohon kerja kosong terkini yang telah ditetapkan majikan seperti di. Kerjaya pembantu tadbir boleh diklasifikasikan antara jawatan paling banyak yang diperlukan oleh kementerian, jabatan dan pentadbiran agensi kerajaan. Panduan menghadiri temuduga pembantu tadbir meliputi contoh soalan interview yang ditanya beserta jawapan. Berikut ini contoh daftar kegiatan tugas jabatan yang dapat diisi dalam skp tahunan untuk jabatan tata usaha (tu) sekolah. Honda civic yg ada lubang utk angin lalu kat tepi tu dah tentu dalam genggaman. Jom uji minda join kuiz sini: Ketahui apa syarat kelayakan, tugas dan gaji pembantu tadbir n19. Pegawai khidmat pelangan (gred n17). Contoh sasaran kerja tahunan (skt) guru.

Perbadanan putrajaya ~ pembantu tadbir, pembantu penguatkuasa, pen.pegawai tadbir & pelbagai jawatan. Surakarta, 17 november 2017 kepada. Teknis menyusun rencana kerja penilikfull description. Dapatkan rahsia lulus temuduga kerja kerajaan dan percuma rujukan pantas peperiksaan online pembantu tadbir n17 ambilan calon tahun 2015. Menyusun program kerja tata usaha.

Panduan Keurusetiaan Pengurusan Prestasi
Panduan Keurusetiaan Pengurusan Prestasi from reader015.dokumen.tips
Ketahui apa syarat kelayakan, tugas dan gaji pembantu tadbir n19. Panduan penyediaan sasaran kerja tahunan skt 1. Pengetahuan am mengenai malaysia dan alam sekeliling. Panduan temuduga kerjaya pembantu tadbir gred 17. Akhirnya kami selaku pengurus pondok pesantren dar al qur'an mengucapkan banyak terimakasih atas segala bantuan dari semua pihak yang terkait dan sekaligus membantu demi terlaksananya pelaksanaan kegiatan rehabilitasi asrama pondok pesantren dar al qur'an desa tegalgubug lor. Bukan jawatan dalam sektor kerajaan sahaja ada jawatan pembantu tadbir, dalam sektor swasta juga ada jawatan ini yang biasanya dipanggil 'admin'. Pembantu tadbir kanan n22 hakiki penentuan pegawai penilai gred sama nota. Sasaran umum program kerja 10 seksi bidang osis, dan program kerja 10 seksi bidang osis yang ada.

Pembantu tadbir (perkeranian & operasi) n17.

Contoh sasaran kerja tahunan (skt) guru. Contoh surat lamaran kerja di perusahaan umum ii. Jom uji minda join kuiz sini: Jom mohon kerja kerajaan dan buat permohonan melalui portal spa8i iaitu suruhanjaya perkhidmatan awam. Contoh surat lamaran kerja umum ii. Contoh sasaran kerja tahunan pegawai tadbir penolong pendaftar. Untuk memohon, pastikan anda ikuti langkah memohon kerja kosong terkini yang telah ditetapkan majikan seperti di. Menyusun program kerja tata usaha. Contoh soalan peperiksaan pembantu tadbir n19 beserta skema jawapan untuk memudahkan ulangkaji pantas. Pembantu tadbir (perkeranian / operasi ) gred n17. Simpanan kwsp lagi la jangan cerita. Sasaran umum program kerja 10 seksi bidang osis, dan program kerja 10 seksi bidang osis yang ada. Kerjaya pembantu tadbir boleh diklasifikasikan antara jawatan paling banyak yang diperlukan oleh kementerian, jabatan dan pentadbiran agensi kerajaan.

Selepas lulus peperiksaan online untuk jawatan pembantu tadbir n19, pastinya anda akan dipanggil temuduga sebelum diambil bekerja. Panduan menghadiri temuduga pembantu tadbir meliputi contoh soalan interview yang ditanya beserta jawapan. Pengawas peperiksaan sijil pelajaran malaysia. Honda civic yg ada lubang utk angin lalu kat tepi tu dah tentu dalam genggaman. See more of pembantu tadbir n17 on facebook.

Pembantu Tadbir Perkeranian Operasi Gred N19
Pembantu Tadbir Perkeranian Operasi Gred N19 from imgv2-2-f.scribdassets.com
Contoh surat lamaran kerja umum ii. Kegiatan tahunan untuk tugas jabatan kepala tata usaha , antara lain sebagai berikut. 17 sasaran kerja tahunan contoh sasaran kerja tahunan pegawai perkhidmatan pendidikan guru 42 sasaran kerja tahunan contoh sasaran kerja tahunan pembantu tadbir rendah n11 (jurutaip) jabatan perdana menteri i. Sudah bersedia untuk peperiksaan ujian bertulis. Sukan tahunan dan larian 1m1s; Contohnya pemprosesan baucer oleh pembantu tadbir kewangan dan pencari fail oleh pembantu am pejabat. Surakarta, 17 november 2017 kepada. Contoh soalan peperiksaan pembantu tadbir n19 beserta skema jawapan untuk memudahkan ulangkaji pantas.

Pembantu tadbir (perkeranian & operasi) n17.

Program kerja wakil sekretaris i. Sasaran umum program kerja 10 seksi bidang osis, dan program kerja 10 seksi bidang osis yang ada. Panduan menghadiri temuduga pembantu tadbir meliputi contoh soalan interview yang ditanya beserta jawapan. Membantu ketua umum menkoordinasi seluruh pengurus osis. Aktiviti projek keterangan senaraikan aktiviti projek. Menyusun program kerja tata usaha. Nota khas merupakan satu komponen dalam pakej ini yang bakal membantu anda! Lamaran pekerjaan kepada yth, bapak / ibu manager personalia pt. Puan salbiah binti sulaiman n 17 dan mohamad taufik mat sauki juruteknik komputer. Pegawai khidmat pelangan (gred n17). Soalan dan jawapan temuduga pembantu tadbir n19 : Kegiatan tahunan untuk tugas jabatan kepala tata usaha , antara lain sebagai berikut. Kualiti mengawasi peperiksaan spm di sekolah yang ditetapkan masa :

Related : Contoh Sasaran Kerja Tahunan Pembantu Tadbir N17 - Pengetahuan am mengenai malaysia dan alam sekeliling..